近日,湖北医药学院附属襄阳市第一人民医院检验科王春花教授研究团队与湖北文理学院附属襄阳市中心医院中心实验室申梁教授团队合作在中科院1区Top期刊Virulence上发表了题为“Serum Metabolomic Characteristics of COVID-19 Patients Co-infection with Echovirus”的最新研究成果。该研究从代谢组学角度揭示了严重急性呼吸系统综合征冠状病毒2(SARS-CoV-2)与埃可病毒(ECHO)合并感染的相关机制,并利用机器学习的方法构建了诊断模型区分单一新型冠状病毒患者和合并感染ECHO的患者,为疾病的诊断提供了参考。

目前,严重急性呼吸系统综合征冠状病毒2(SARS-CoV-2)的Omicron变异株仍在全球流行。在多家医院多重呼吸道病原体检测过程中,发现了SARS-CoV-2与埃可病毒(ECHO)合并感染的病例,这加剧了这些患者的临床症状。这种合并感染很可能会影响后续的医疗治疗。迄今为止,还没有关于COVID-19患者合并感染ECHO的相关报道。该研究采用TM广泛靶向代谢组学方法分析了单一感染SARS-CoV-2的COVID-19患者(COVID-19)、合并感染ECHO的COVID-19患者(COVID-19+ECHO)以及同期通过常规体检招募的健康人的血清代谢组。并对患者进行了临床实验室检测,以揭示COVID-19患者和COVID-19+ECHO患者之间代谢组学特征的差异,并探索可能加剧疾病进展的潜在代谢途径。
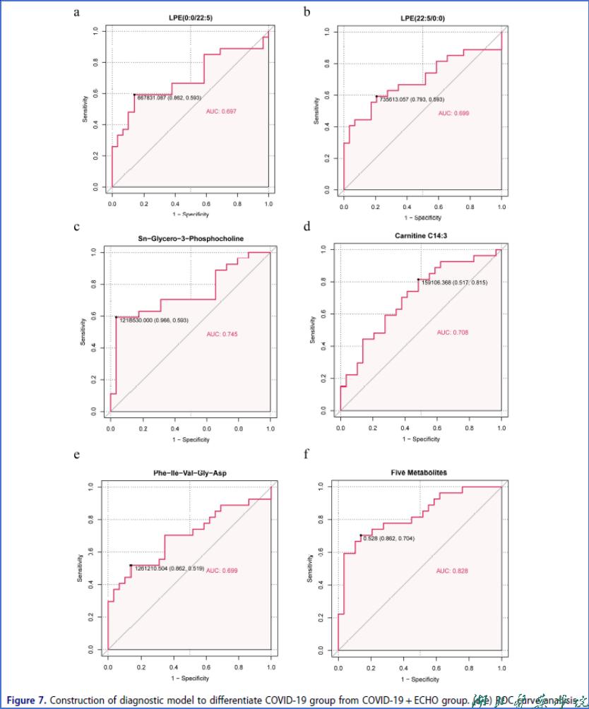
研究结果表明,与单次感染COVID-19的患者相比,双重感染患者表现出更高的炎症和免疫反应。这种差异可能是通过甘油磷脂代谢途径的异常反映出来的,代谢物Sn-Glycero-3-Phosphocholine在这一过程中起着至关重要的作用。最后,该研究利用五种差异代谢物建立了一个基于逻辑回归的诊断模型,该模型能准确区分双重感染人群和单一COVID-19感染人群(AUC = 0.828)。综上,该研究从代谢组的角度揭示了SARS-CoV-2与ECHO合并感染的机制,并从机器学习的角度为合并感染ECHO的COVID-19患者和单一COVID-19患者染的区分提供诊断依据。


湖北医药学院附属襄阳市第一人民医院检验科王春花副教授、襄阳市中心医院助理研究员余婷玉、夏影和湖北文理学院附属枣阳医院检验科陶锋主任作为共同第一作者;湖北文理学院附属襄阳市中心医院中心实验室主任申梁副教授、襄阳市中心医院助理研究员张帅杰为本文的共同通讯作者。本研究得到了国家自然科学基金(82002192,32302218)、湖北省教育厅中青年人才项目(Q202326041)、湖北省自然科学基金创新与发展联合基金(2025AFD033,2025AFD045)的资助。(来源于病毒学界微信公众号)
